Administrator by China Associction for Science and Technology
Sponsored by China Society of Automotive Engineers
Published by AUTO FAN Magazine Co. Ltd.

Automotive Engineering ›› 2025, Vol. 47 ›› Issue (12): 2314-2325.doi: 10.19562/j.chinasae.qcgc.2025.12.004

Previous Articles     Next Articles

Modeling, Simulation and Experimental Study on Swelling Behavior of Semi-Solid-State Lithium-Ion Batteries

Jielun Meng1,2,Jun Peng1(),Ruixiang Zhao1,Xuan Zhao1,Jian Ma1,Dean Meng1,Xiakai Wang1,Juncheng Yao1   

  1. 1.School of Automobile,Chang’an University,Xi’an 710018
    2.School of Future Transportation,Chang’an University,Xi’an 710018
  • Received:2025-07-15 Revised:2025-10-15 Online:2025-12-25 Published:2025-12-19
  • Contact: Jun Peng E-mail:pengjun@chd.edu.cn

Abstract:

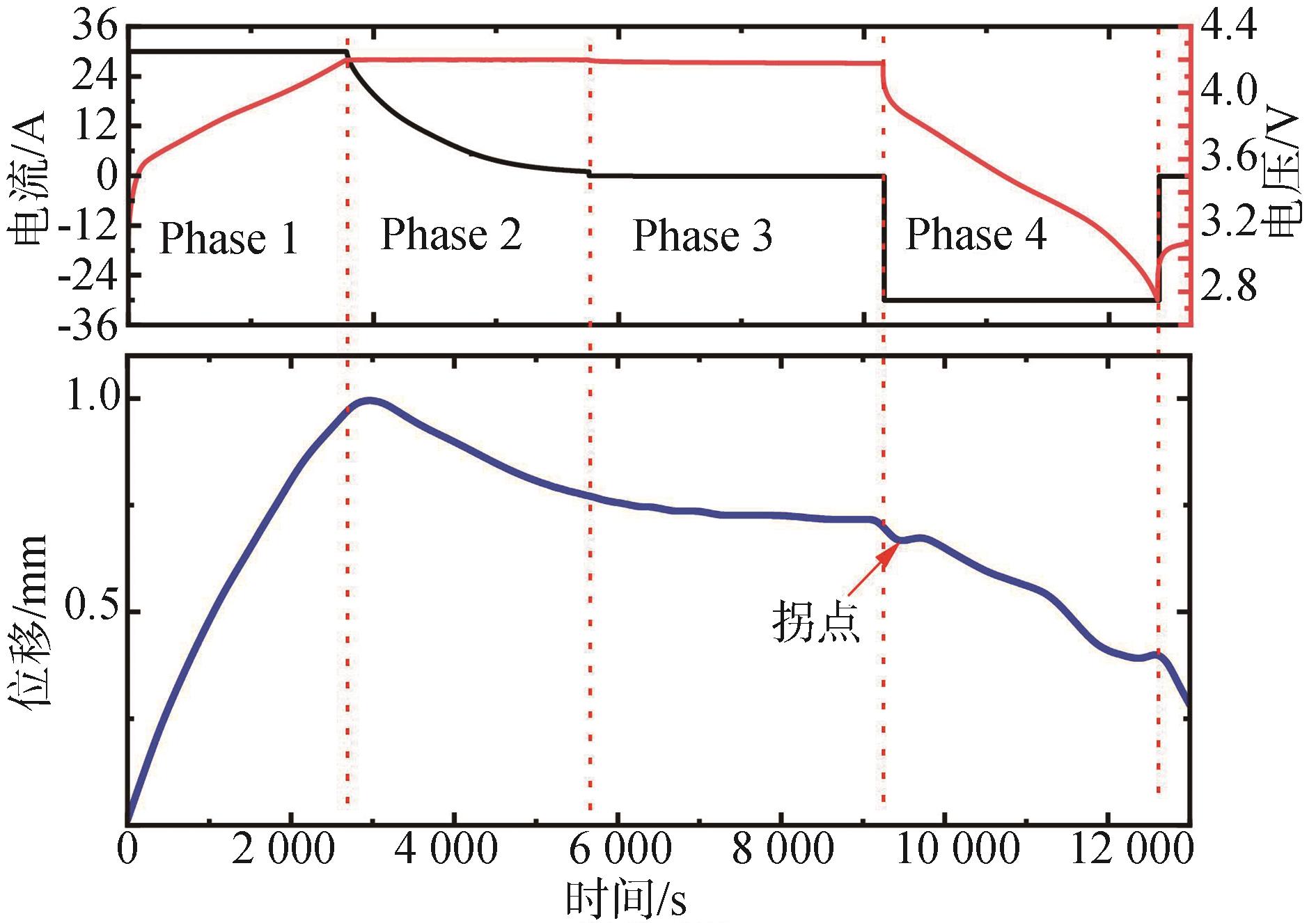
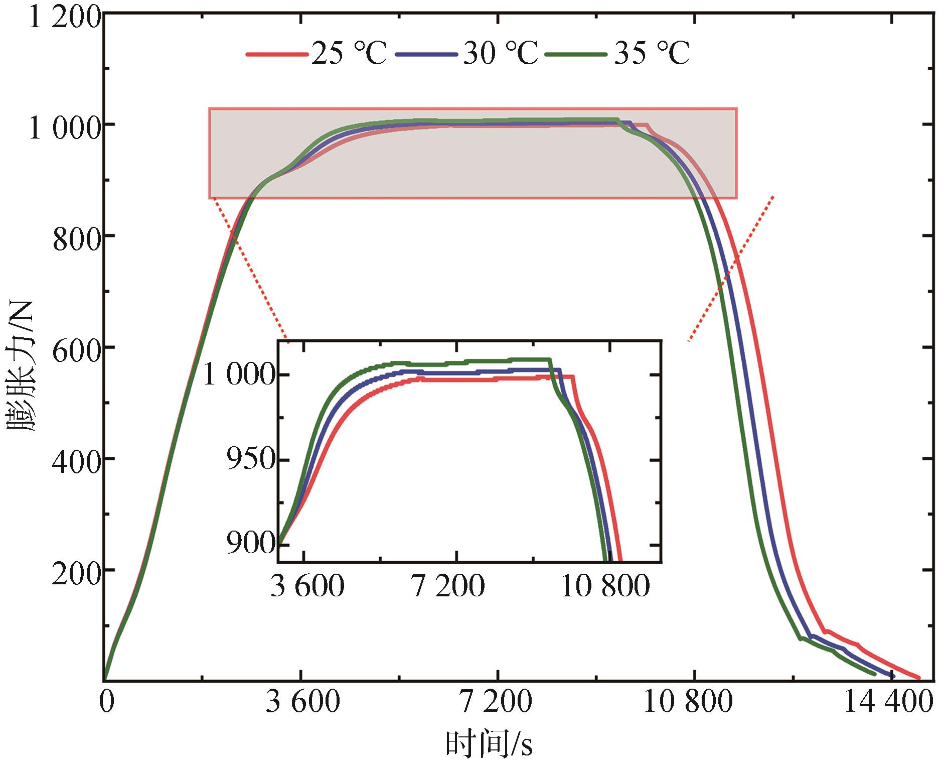
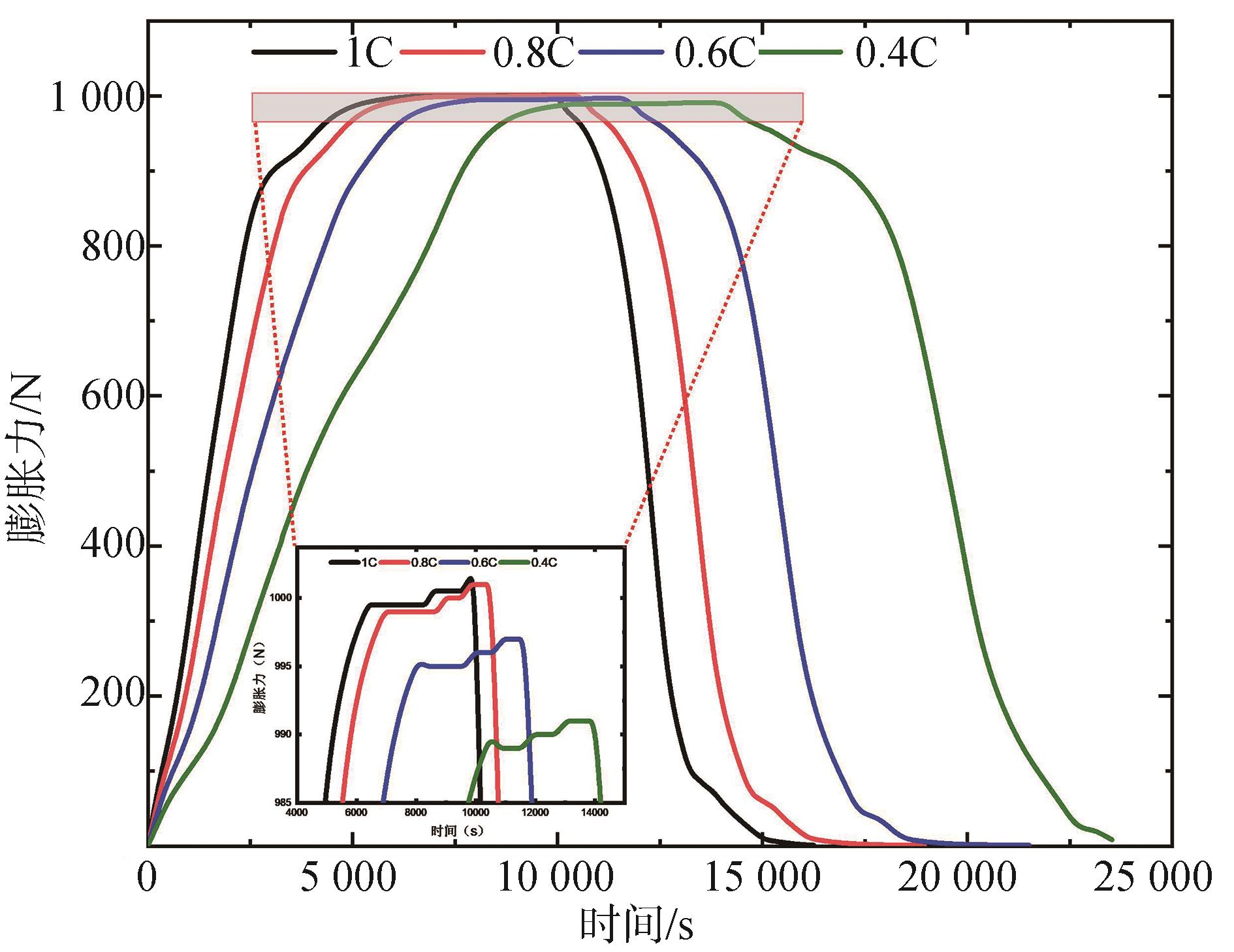
Semi-solid-state lithium batteries, combining the high ionic conductivity of liquid electrolytes with the safety advantages of solid-state electrolytes, have become a critical next-generation power source for aviation systems. The swelling behavior during charge-discharge cycles significantly impacts both electrochemical performance and safety. However, the mechanism and evolution patterns of expansion deformation and swelling force in semi-solid-state batteries remain insufficiently understood. In this study, taking a commercial semi-solid-state battery as the research object, the expansion characteristics under two distinct scenarios of constant-gap constraint and free-expansion conditions are experimentally analyzed. Further an electro-thermal-mechanical coupled model is developed for semi-solid-state lithium batteries to simulate expansion behavior under varying temperatures and C-rates. The simulation results show good agreement with experimental data. The experimental results show that under constant gap conditions, the fixed constraint converts the expansion of negative electrode material into stress accumulation; under free expansion conditions, the expansion of negative electrode material is directly presented in the form of displacement. The expansion force or expansion displacement increases rapidly in the constant-current charging stage, decreases slightly in the constant-voltage charging stage, and then decreases gradually in the constant-current discharging stage. The MAPE of the model simulation and experimental values is 4.69% and 5.37% (at 25 ℃, 1C) under both conditions, respectively. The results provide a theoretical basis for predicting and controlling the mechanical failure risk of semi-solid lithium batteries and optimizing the mechanical constraint design.

Key words: semi-solid-state lithium batteries, swelling behavior, electric-thermal-mechanical coupling, modeling and simulation