汽车工程 ›› 2025, Vol. 47 ›› Issue (12): 2431-2440.doi: 10.19562/j.chinasae.qcgc.2025.12.015
邱胤原1,3,林国靖1,查云飞1(
),吴晓勇2,洪亮1,曾钦达3
收稿日期:2025-03-14
修回日期:2025-04-26
出版日期:2025-12-25
发布日期:2025-12-19
通讯作者:
查云飞
E-mail:fei244@163.com
基金资助:
Yinyuan Qiu1,3,Guojing Lin1,Yunfei Zha1(
),Xiaoyong Wu2,Liang Hong1,Qinda Zeng3
Received:2025-03-14
Revised:2025-04-26
Online:2025-12-25
Published:2025-12-19
Contact:
Yunfei Zha
E-mail:fei244@163.com
摘要:
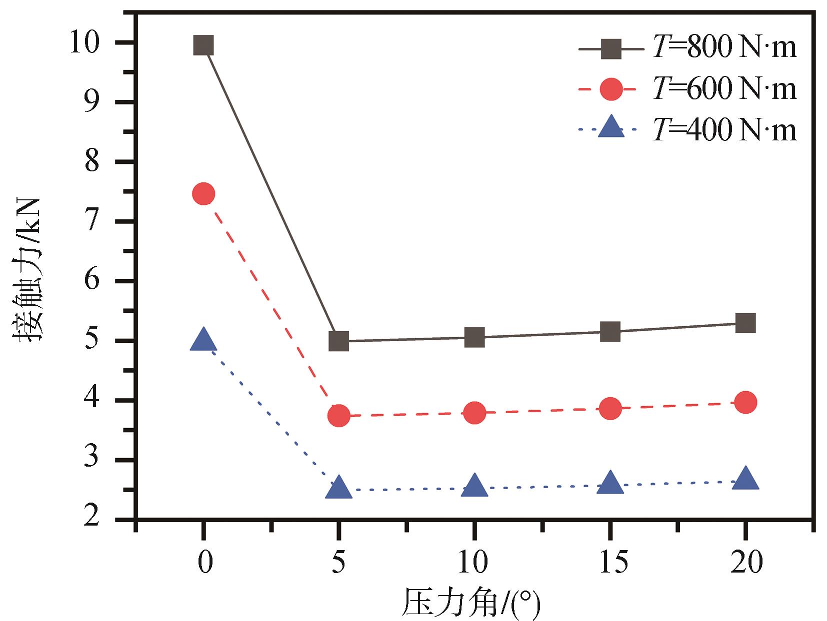
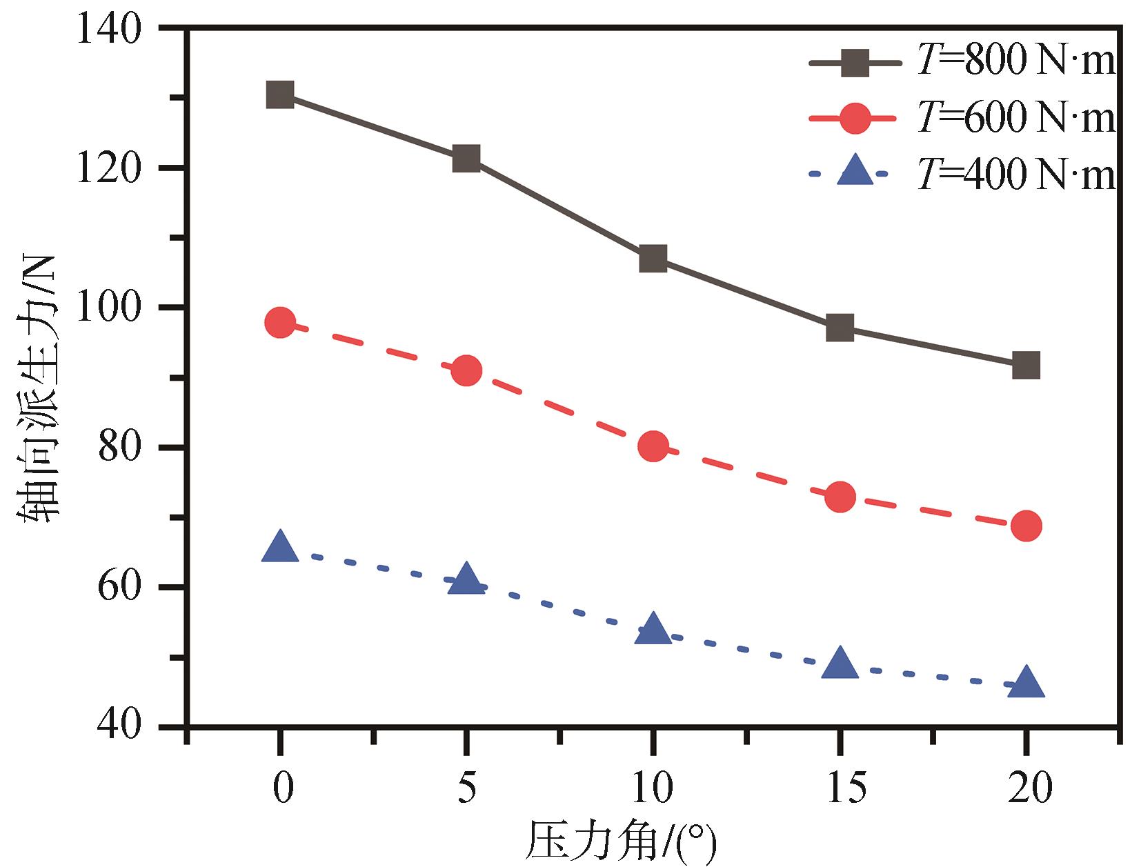
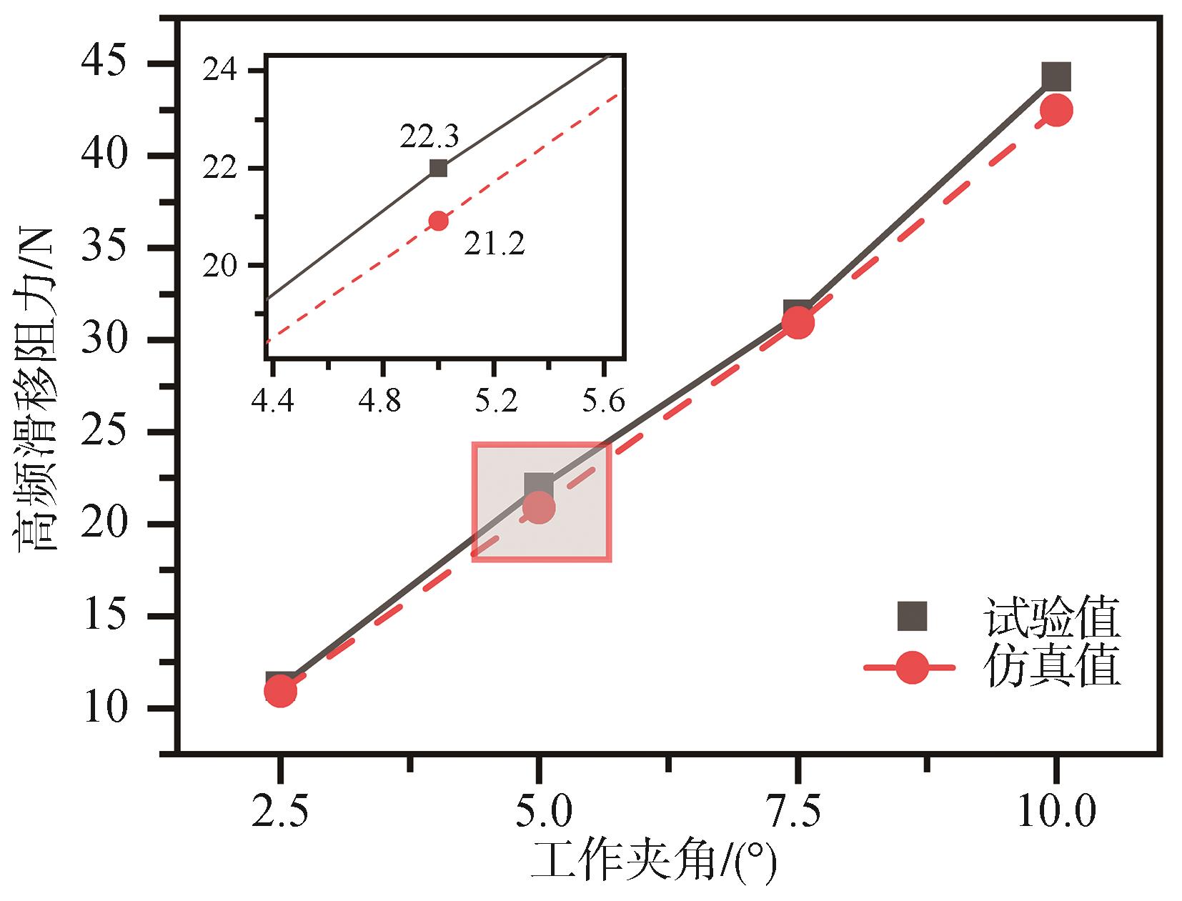
为探究接触对几何形状对三球销式等速万向节多维度动力学特性的影响,本文提出了一种考虑接触几何的动态行为分析方法。首先,基于共轭曲面原理,建立了球环-滚道副的接触几何模型,求解了二者间的约束关系;随后,基于ADAMS软件平台,建立了集成接触几何特性的多体动力学模型,并通过融合接触点自动检测算法与几何投影约束方程,提升了球环-滚道接触点位置的计算精度,以更精确地模拟二者间的接触力学特性。通过台架试验,验证模型的准确性。结果表明,球环与滚道间的接触压力角增至20°时,可在不增加万向节尺寸的前提下,降低约29%的轴向派生力,显著减少对汽车横向振动的激励。本文为解决三球销式等速万向节高NVH性与轻量化之间的矛盾提供了新思路。
邱胤原,林国靖,查云飞,吴晓勇,洪亮,曾钦达. 考虑接触几何的三球销式等速万向节多维动力学特性研究[J]. 汽车工程, 2025, 47(12): 2431-2440.
Yinyuan Qiu,Guojing Lin,Yunfei Zha,Xiaoyong Wu,Liang Hong,Qinda Zeng. Research on the Multi-dimensional Dynamic Characteristics of Tripod Joints Considering Contact Geometry[J]. Automotive Engineering, 2025, 47(12): 2431-2440.
| [1] | URBINATI F, PENNESTRÌ E. Kinematic and dynamic analyses of the tripode joint [J]. Multibody System Dynamics, 1998, 2(4): 355-367. |
| [2] | 陈静, 史文库. 三枢轴式等速万向节接触应力的有限元分析[J]. 汽车工程, 2008, 30(1): 66-68. |
| CHEN J, SHI W K. A FE analysis on contact stresses in tripot universal joint [J]. Automotive Engineering, 2008, 30(1): 66-68. | |
| [3] | 周宗琳, 田子龙, 任超. 驱动轴夹角与整车横摆试验研究[J]. 噪声与振动控制, 2019, 39(6): 102-105. |
| ZHOU Z L, TIAN Z L, REN C. Study on the drive shaft angle and vehicle yaw test[J]. Journal of Noise and Vibration Control, 2019, 39(6): 102-105. | |
| [4] | 石宇鹏, 张全逾, 阳郴郴. 关于驱动轴引起的汽车横向振动探析[J]. 汽车零部件, 2020(9): 35-39. |
| SHI Y P, ZHANG Q Y, YANG C C. Analysis of lateral vibration of automobiles caused by drive shaft [J]. Automotive Components, 2020 (9): 35-39. | |
| [5] | FUNAHASHI M, FUJIO T, SAKIHARA R. Evolution of fixed constant velocity joint that contributes to environ-mental protection [J]. NTN Technical Review, 2023, 89: 73-78. |
| [6] | 查云飞, 郑利渊, 邱胤原, 等. 基于NSGA-Ⅱ的纯电动汽车悬置系统隔振率优化[J]. 汽车工程, 2024, 46(11): 2091-2099. |
| ZHA Y F, ZHENG L Y, QIU Y Y, et al. Optimization of vibration isolation rate of pure electric vehicle mounting system based on NSGA-II [J]. Automotive Engineering, 2024, 46(11): 2091-2099. | |
| [7] | SERVETO S, MARIOT J P, DIABY M. Modelling and measuring the axial force generated by tripod joint of automotive drive-shaft [J]. Multibody System Dynamics, 2008, 19(3): 209-226. |
| [8] | LIM Y H, SONG M E, LEE W H, et al. Multibody dynamics analysis of the driveshaft coupling of the ball and tripod types of constant velocity joints [J]. Multibody System Dynamics, 2009, 22: 145-162. |
| [9] | 冯华渊, 上官文斌, RAKHEJA S, 等. 驱动轴系统轴向派生力的测试与计算分析方法[J]. 振动工程学报, 2021, 34(2): 253-261. |
| FENG H Y, SHANGGUAN W B, RAKHEJA S, et al. Testing and calculation analysis methods for axial derived forces of the drive shaft system [J]. Journal of Vibration Engineering, 2021, 34(2): 253-261. | |
| [10] | LEE C H, POLYCARPOU A A. A phenomenological friction model of tripod constant velocity (CV) joints [J]. Tribology International, 2010, 43(4):844-858. |
| [11] | LEE K H, LEE D W, CHUNG J H, et al. Design of generated axial force measurement tester for tripod constant velocity joints under shudder condition [J]. Journal of Mechanical Science and Technology, 2014, 28: 4005-4010. |
| [12] | JO G, KIM S, DONG W, et al. Estimation of generated axial force considering rolling-sliding friction in tripod type constant velocity joint [J]. Tribology Transactions, 2018, 61: 888-899. |
| [13] | SUGIURA H, ANDO Y, KASHIWAGI I, et al. Study on thrust force reduction of tripod constant velocity joint [J]. Journal of System Design and Dynamics, 2011, 5(8): 1687-1699. |
| [14] | FENG H, SHANGGUAN W B, RAKHEJA S. Modeling and analysis of nonlinear axial friction forces of tripod joints considering roughness characteristics of contact pairs [J]. Journal of Sound and Vibration, 2022, 536: 117148. |
| [15] | 冯华渊, 上官文斌, 康英姿. 考虑粗糙表面特性的驱动轴系统轴向派生力的区间不确定性优化[J]. 机械工程学报, 2022, 58(1): 221-230. |
| FENG H Y, SHANGGUAN W B, KANG Y Z. Interval uncertainty optimization of axial derived forces in the drive shaft system considering the characteristics of rough surfaces [J]. Journal of Mechanical Engineering, 2022, 58(1): 221-230. | |
| [16] | FENG H, SHANGGUAN W B, QIN W. Research on plunging resistant force of drive-shaft systems based on fractal methods [J]. Tribology Transactions, 2024, 67(4): 817-830. |
| [17] | SIMPSON M, DOLATABADI N, MORRIS N, et al. Analysis of a cross groove constant velocity joint mechanism designed for high performance racing conditions [J]. Proceedings of the Institution of Mechanical Engineers, Part K: Journal of Multi-body Dynamics, 2023, 237(1): 16-33. |
| [18] | SIMPSON M, DOLATABADI N, MORRIS R, et al. Multibody dynamics of cross groove constant velocity ball joints for high performance racing applications [J]. Mechanism and Machine Theory, 2023, 188: 105407. |
| [19] | INNOCENTI C. The instantaneous transmission ratio of a driveshaft composed of a tripod joint and a fixed constant velocity joint [J]. Mechanism and Machine Theory, 2023, 189: 105430. |
| [20] | 张海, 冉祥瑞, 蔡家祺, 等. 轮轨接触几何非线性对车辆动力学性能的影响[J]. 铁道科学与工程学报, 2022, 19(6): 1743-1752. |
| ZHANG H, RAN X R, CAI J Q, et al. Influence of nonlinear geometry parameters of wheel-rail contact on dynamic vehicle performance [J]. Journal of Railway Science and Engineering, 2022, 19(6): 1743-1752. | |
| [21] | 覃刚, 张云清, 吴昌林. 球笼式等速万向节动力学仿真分析系统的开发[J]. 轴承, 2003(7): 4-7. |
| QIN G, ZHANG Y Q, WU C L. Dynamics simulation analysis system for ball basket constant velocity universal joint [J]. Bearing, 2003(7): 4-7. | |
| [22] | HAMROCK B, BREWE D. Simplified solution for stresses and deformation [J]. ASME Journal of Lubrication Technology, 1983, 105: 171-177. |
| [23] | PENNESTRÌ E, ROSSI V, SALVINI P, et al. Review and comparison of dry friction force models[J]. Nonlinear Dynamics, 2016, 83: 1785-1801. |
| [24] | 高一佳. ADAMS中的接触与接触摩擦作用机制实例详解[J]. 汽车实用技术, 2017(6): 64-66. |
| GAO Y J. Detailed explanation of contact and contact friction mechanism in ADAMS [J]. Automotive Practical Technology, 2017(6): 64-66. | |
| [25] | 汽车驱动轴总成:QC/T 1020—2023 [S]. 2023. |
| Automotive drive shaft assembly: QC/T 1020—2023 [S]. 2023. | |
| [26] | JOHNSON K L. Contact mechanics [M]. Cambridge University Press, 1987. |
| [27] | 于沅鑫, 薛平, 沙潇, 等. 基于Opti-Struct的电机控制器NVH分析与设计优化[J]. 上海汽车, 2025 (2): 30-35. |
| YU Y X, XUE P, SHA X, et al. NVH analysis and design optimization of motor controller based on opti-struct [J]. Shanghai Automobile, 2025 (2): 30-35. |
| [1] | 王笑乐,郭彦超,徐小东,王雷,戴宝宝,张志宁,杨洋. 危化罐车中长波起伏路面液体晃动动力学行为研究[J]. 汽车工程, 2025, 47(1): 187-200. |
| [2] | 张秋艳,程泽,刘旭. 基于多维度多尺度特征的锂离子电池RUL估计方法[J]. 汽车工程, 2024, 46(10): 1897-1903. |
| [3] | 刘月普,关莹,张燕,赵亮,陈强,杨景玲,沈拓. 混动车型平衡轴齿轮敲击噪声优化[J]. 汽车工程, 2023, 45(4): 690-698. |
| [4] | 张英朝,简杰松,张锦涛,王国华,于远彬. 基于三维/一维强耦合模型的整车热平衡与热系统参数对性能影响的研究[J]. 汽车工程, 2022, 44(6): 936-944. |
| [5] | 朱冰, 张培兴, 赵健. 面向多维度逻辑场景的自动驾驶安全性聚类评价方法*[J]. 汽车工程, 2020, 42(11): 1458-1463. |
|