Administrator by China Associction for Science and Technology
Sponsored by China Society of Automotive Engineers
Published by AUTO FAN Magazine Co. Ltd.

Automotive Engineering ›› 2025, Vol. 47 ›› Issue (6): 1072-1085.doi: 10.19562/j.chinasae.qcgc.2025.06.006

Previous Articles    

Analysis of Hygrothermal Characteristics and Condensation Evolution in the Micro-environment of Power Battery Packs

Jiqing Chen,Pu Huang,Xinping Jiang(),Jihong Chen,Fengchong Lan   

  1. South China University of Technology,Guangdong Provincial Automobile Engineering Key Laboratory,Guangzhou 510640
  • Received:2025-01-20 Revised:2025-02-19 Online:2025-06-25 Published:2025-06-20
  • Contact: Xinping Jiang E-mail:jiangxinping2019@hotmail.com

Abstract:

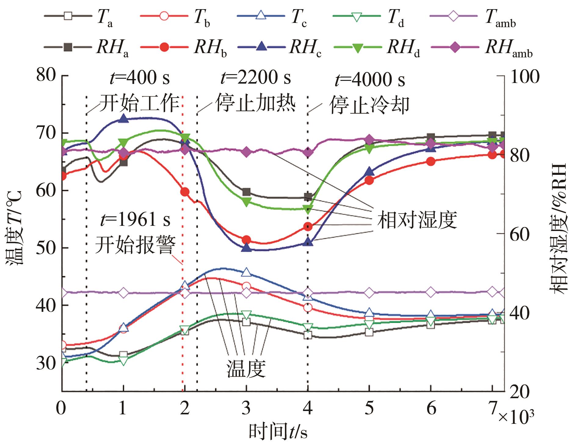
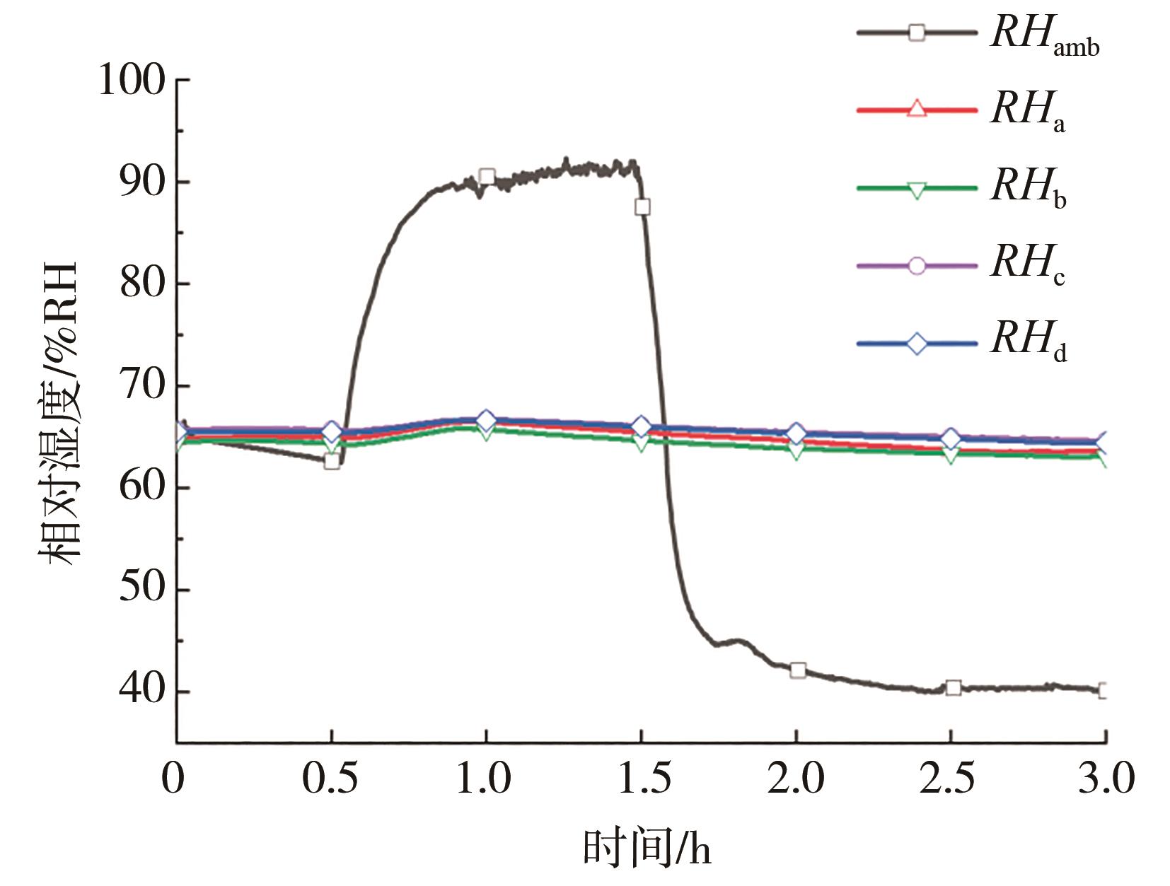
Under the coupled effect of external environment and its own operating conditions, condensation may occur inside the power battery pack. The accumulation of condensation can turn into water accumulation, posing a serious threat to the safe operation of the battery pack. By conducting temperature and humidity characteristic tests on the power battery pack and utilizing CFD numerical simulation analysis methods, the evolution process of temperature and humidity characteristics inside the battery pack and the mechanism of condensation generation are studied. The inflow of coolant instantaneously increases the likelihood of condensation while high-power operation of the module can inhibit the formation of condensation. High-temperature and high-humidity environment is detrimental to the normal operation of the battery pack, which not only may lead to localized high temperatures inside the battery pack but also increase the risk of condensation. This research provides a reference for the design and optimization of environmental humidity and heat management inside power battery packs.

Key words: power battery pack, model experiment, the hygrothermal characteristics, simulation analysis, condensation