汽车工程 ›› 2025, Vol. 47 ›› Issue (12): 2326-2335.doi: 10.19562/j.chinasae.qcgc.2025.12.005

• • 上一篇    下一篇

基于负泊松比微结构的飞行汽车液冷电池包热学性能分析

赵颖1(),郝纪波1,孙晓宇1,杨杰1,胡晓松2,王月强3,王扬卫4   

  1. 1.西南大学工程技术学院,重庆 400715
    2.重庆大学机械与运载工程学院,重庆 400044
    3.长安汽车研发中心,重庆 400021
    4.北京理工大学,冲击环境材料技术国家级重点实验室,北京 100081
  • 收稿日期:2025-06-13 修回日期:2025-10-26 出版日期:2025-12-25 发布日期:2025-12-19
  • 通讯作者: 赵颖 E-mail:18166893680@163.com
  • 基金资助:
    国家自然科学基金青年科学基金(52202451);新重庆青年创新人才项目(CSTB2024NSCQ-QCXMX0038);冲击环境材料技术重点实验室基金(WDZC2024-7);重庆市自然科学基金面上项目(CSTB2024NSCQ-MSX0954)

Thermal Performance Analysis of Liquid-Cooling Battery Pack for Flying Cars Based on Cellular Structure with Negative Poisson's Ratio

Ying Zhao1(),Jibo Hao1,Xiaoyu Sun1,Jie Yang1,Xiaosong Hu2,Yueqiang Wang3,Yangwei Wang4   

  1. 1.College of Engineering and Technology,Southwest University,Chongqing 400715
    2.College of Mechanical and Vehicle Engineering,Chongqing University,Chongqing 400044
    3.Chang’an Automobile Research Center,Chongqing 400021
    4.Beijing Institute of Technology,China National Key Laboratory of Science and Technology on Materials under Shock and Impact,Beijing 100081
  • Received:2025-06-13 Revised:2025-10-26 Online:2025-12-25 Published:2025-12-19
  • Contact: Ying Zhao E-mail:18166893680@163.com

摘要:

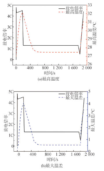
本文提出一种嵌入三角形伞状负泊松比微结构(triangle umbrella-shaped cellular structure, TUCS)的新型飞行汽车电池包。首先,推导锂电池生热模型并建立锂电池单体有限元模型,对锂电池单体开展放电试验,验证了锂电池生热模型及有限元模型的准确性。其次,推导了TUCS理论热学模型,并对其开展优化设计获取了具备最优性能的TUCS参数,并将其嵌入飞行汽车液冷电池包内部,探究了冷却液流速、冷却液流向、TUCS内部变密度梯度及层间变密度梯度对电池包散热性能的影响,获取散热性能最优的新型飞行汽车电池包。该电池包在飞行汽车典型工况下的最高温度及最大温差分别为32.0及4.01 ℃,处于正常工作范围。相较于传统飞行汽车电池包,分别降低了24.24%及71.72%,验证了新型飞行汽车电池包散热性能的优异性。最后,开展了新型飞行汽车电池包样件试制及放电试验,验证了本文理论模型和数值模拟的准确性。

关键词: 飞行汽车, 液冷电池包, 负泊松比微结构, 散热性能

Abstract:

A novel battery pack for flying cars embedded with triangle umbrella-shaped cellular structure (TUCS) is proposed is proposed in this paper. Firstly, heat generation model of lithium battery is derived and corresponding finite element model of lithium battery cell is established. Then, discharge tests are conducted on lithium battery cells and the accuracy of heat generation model and finite element model is verified. Moreover, theoretical thermodynamic model of TUCS is derived and the optimization design is conducted. The optimal TUCS is achieved and then embedded into liquid-cooling battery pack of flying car. Meanwhile, the effects of coolant flow velocity, coolant flow direction, internal density gradient within TUCS, and interlayer density gradient on heat dissipation performances of novel battery pack is investigated to obtain the novel flying car battery pack with optimal heat dissipation performance. The maximum temperature and maximum temperature difference of the novel flying car battery pack is 32.0 and 4.01 ℃ respectively under typical operating conditions of flying cars, which are within the normal operating range, a decrease by 24.24% and 71.72% in comparation with those of conventional battery pack, respectively, thus verifying the excellent heat dissipation performance of the new flying car battery pack. Finally, the novel flying car battery pack sample is fabricated and discharge tests on TUCS battery pack sample are conducted. The accuracy of theoretical models and numerical simulation presented are verified.

Key words: flying cars, liquid-cooling battery pack, cellular structure with negative Poisson's ratio, heat dissipation performance