汽车工程 ›› 2025, Vol. 47 ›› Issue (10): 1847-1860.doi: 10.19562/j.chinasae.qcgc.2025.10.001

• •    

考虑执行器特性的自适应预测时域MPC轨迹跟踪控制

许男(),尹卓,张岳韬,郭孔辉   

  1. 吉林大学,汽车底盘集成与仿生全国重点实验室,长春 130022
  • 收稿日期:2024-11-26 修回日期:2025-01-06 出版日期:2025-10-25 发布日期:2025-10-20
  • 通讯作者: 许男 E-mail:xunan@jlu.edu.cn
  • 基金资助:
    国家自然科学基金(52372385, 52394263 和 52122216)资助。

MPC Path Tracking Based on Adaptive Predictive Horizon Considering Active Actuators Characteristics

Nan Xu(),Zhuo Yin,Yuetao Zhang,Konghui Guo   

  1. Jilin University,State Key Laboratory of Automotive Chassis Integration and Bionics,Changchun 130022
  • Received:2024-11-26 Revised:2025-01-06 Online:2025-10-25 Published:2025-10-20
  • Contact: Nan Xu E-mail:xunan@jlu.edu.cn

摘要:

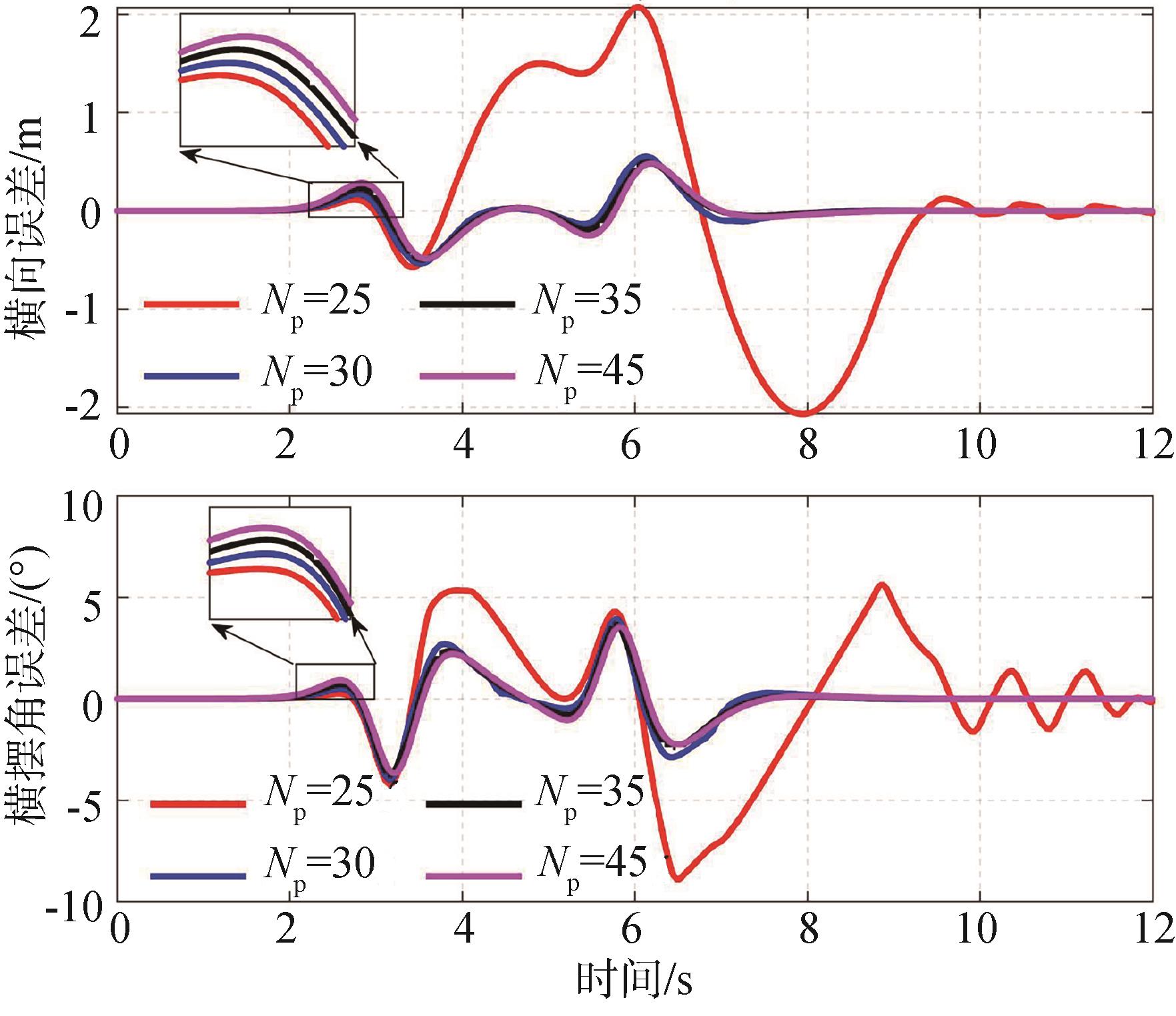
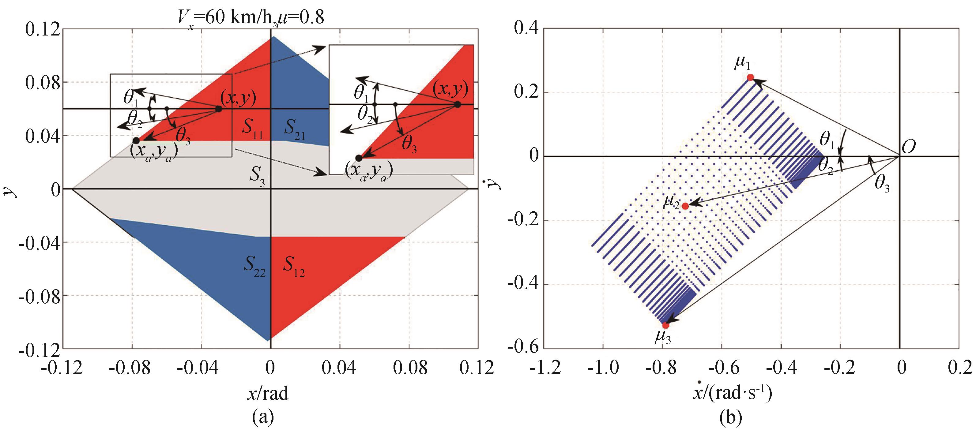
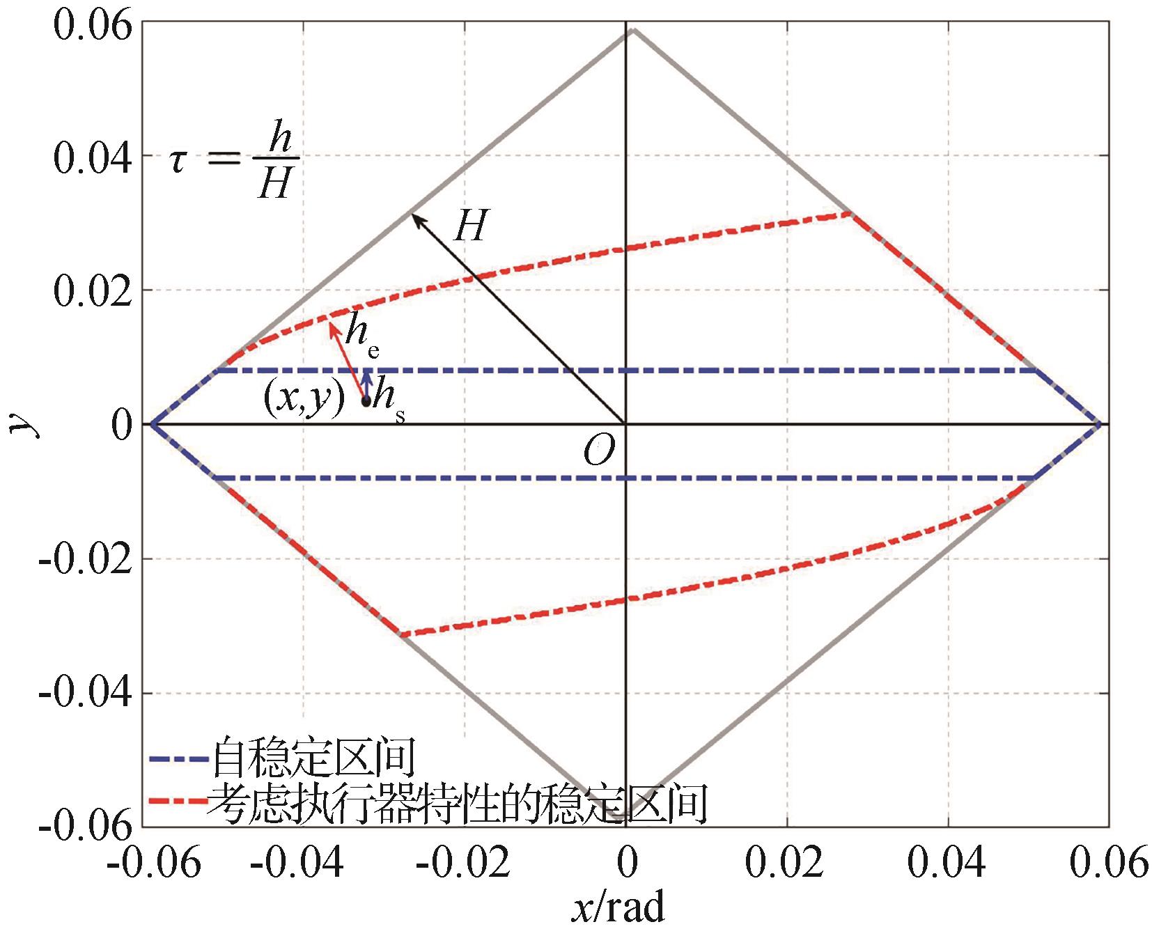
为了充分发挥多执行器底盘在自动驾驶车辆轨迹跟踪控制中的动力学性能,本文提出了一种考虑执行器特性对车辆动力学状态影响的稳定性分析方法,并据此设计了预测时域随稳定裕度自适应变化的模型预测(model predictive control, MPC)轨迹跟踪控制器。针对集成了前后轮主动转向(active front wheel steering- active rear wheel steering, AFS-ARS)的自动驾驶车辆,首先在能量相平面中分析了在执行器影响下的车辆动力学状态变化趋势,结合李雅普诺夫第二法,根据执行器作用下动力学状态变化矢量与前后轮胎力饱和约束的关系确定了一种新型稳定包络边界。然后基于车辆在轨迹跟踪过程中稳定裕度的变化设计了一种自适应预测时域计算方法,结合面向控制的非线性轮胎模型UniTire-Ctrl建立了MPC轨迹跟踪控制器。CarSim-Simulink的联合仿真结果表明,本文提出的新型稳定包络边界更适合考虑执行器特性的车辆稳定边界的估计,并且据此设计的自适应预测时域MPC轨迹跟踪控制器能较好地平衡轨迹跟踪精度与车辆操纵稳定性的关系。

关键词: 多执行器底盘, 模型预测控制, 轨迹跟踪控制, 拓展稳定性边界, 变预测时域

Abstract:

To fully leverage the performance of multi-actuator chassis systems in the path tracking of autonomous vehicles, in this paper the stability analysis method is proposed which considers the influence of actuator characteristics on vehicle dynamics states. Based on this analysis, a model predictive control (MPC) based path tracking controller is designed, with a prediction horizon adaptively adjusted according to stability margins. For autonomous vehicles equipped with active front-wheel steering (AFS) and active rear-wheel steering (ARS), the vehicle's dynamic state trends under actuator influence are first analyzed in the energy phase plane. A novel stability envelope boundary is defined based on the relationship between the dynamic state variation vector and the front and rear tire force saturation constraints, using Lyapunov's second method. Then, an adaptive prediction horizon calculation method is designed based on stability margin changes during trajectory tracking, and an MPC trajectory tracking controller is constructed using the nonlinear tire model, i.e., UniTire-Ctrl. The co-simulation results from CarSim and Simulink demonstrate that the proposed stability envelope boundary more accurately estimates the vehicle stability boundary considering actuator characteristics, and the variable horizon MPC path tracking controller effectively balances path tracking accuracy with vehicle lateral stability.

Key words: multi-actuator chassis, MPC, path tracking, extended stability envelope, adaptive predictive horizon