Administrator by China Associction for Science and Technology
Sponsored by China Society of Automotive Engineers
Published by AUTO FAN Magazine Co. Ltd.

Automotive Engineering ›› 2025, Vol. 47 ›› Issue (5): 859-874.doi: 10.19562/j.chinasae.qcgc.2025.05.007

Previous Articles     Next Articles

Research on Collaborative Control of Fuel Cell Gas Supply System Based on Auto-disturbance Rejection Control

Pei Fu1,Huaxi Zhang1,Xu Cai2,Zijian Lan1,Qingshan Liu1,Yisong Chen1()   

  1. 1.School of Automobile,Chang’an University,Xi’an  710064
    2.LanTu Automobile Technology Co. ,Ltd. ,Wuhan  430056
  • Received:2024-09-10 Revised:2024-11-06 Online:2025-05-25 Published:2025-05-20
  • Contact: Yisong Chen E-mail:chenyisong_1988@163.com

Abstract:

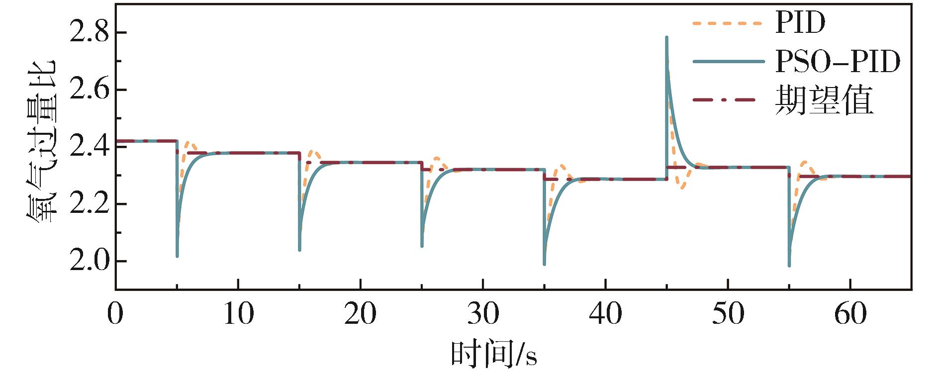
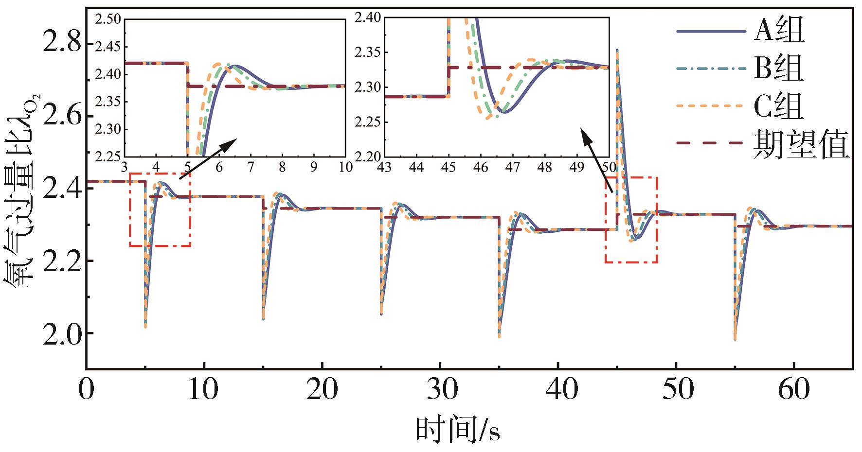
The development of hydrogen fuel cell vehicle is one of the important measures to realize the “Double carbon” strategic goal in our country. As the main power source of fuel cell vehicle, proton exchange membrane fuel cell (PEMFC) system has nonlinear, strong coupling and time-delay characteristics. Those characteristics make PEMFC system have many difficulties when it is faced with complex power demand under various conditions like vehicle acceleration and climbing, especially in terms of precise control of gas supply and dynamic regulation of system response. The flow rate and pressure of gas supply play a decisive role in the output performance of PEMFC. Improper gas supply can lead to low efficiency of the stack and even damage or failure of the stack, and then affect the overall performance and service life of the system. Therefore, accurate gas supply system by optimizing the gas supply system is the key to improve the performance and extend the service life of PEMFC. Based on the establishment of a gas supply system model for PEMFC, in this paper the influence of key operating parameters such as oxygen excess ratio, gas pressure and gas pressure difference on the output performance of the system is analyzed. The synergetic control of oxygen excess ratio, cathode pressure and bipolar gas pressure difference in PEMFC system using nonlinear active disturbance rejection control (ADRC) algorithm is researched, which is then compared with those under the proportional integral derivative (PID) controller. Under PID control, the maximum overshoot of the oxygen excess ratio can reach 1, while under ADRC control, the overshoot only around 0.2, and the time to reach steady state is approximately 0.1 seconds, compared to around 1 seconds under PID control. After a sudden change in load current, the overshoot of the cathode gas pressure under the PID control algorithm is around 0.08 with large fluctuations, reaching a stable value within 2 seconds. Under the ADRC control algorithm, the cathode gas pressure can reach stable value within 0.8 seconds, with an overshoot much smaller than the PID control algorithm. Under PID control, the overshoot of the two-stage gas difference can reach up to 0.15 with large fluctuations and longer time to reach stability, but under the ADRC controller, it can quickly and stably reach the set value of 0.2 bar with smaller fluctuations. The results show that the ADRC controller has better decoupling, robustness and stability under the disturbance factors of load current and hydrogen displacement action.

Key words: fuel cell, gas supply system, PID, auto-disturbance rejection control, cooperative control